

上海光机所提出描述非晶氧化硅结构及其激光损伤诱导冲击动力学过程的新方法
近日,中国科学院上海光学精密机械研究所薄膜光学实验室研究团队提出的金属-有机框架(Metal-Organic Framework,简称MOF)力场模型参数不仅可以准确描述非晶氧化硅结构,还能高效仿真非晶氧化硅在激光损伤冲击所伴随的流体动力学过程,相关成果以“Structure and shock properties of amorphous silica predicted by a metal-organic framework force field”为题发表于Optical Materials Express。
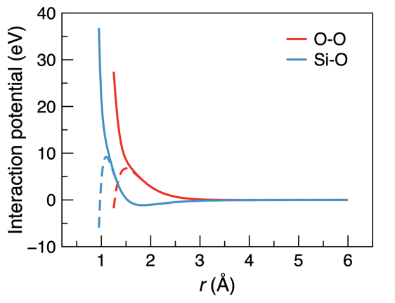
非晶氧化硅是高功率激光系统元器件中应用最普遍的光学材料,以窗口、衬底、薄膜等形式控制激光能量的传输。高功率激光辐照下,非晶氧化硅材料中的纳米吸收中心沉积激光能量并伴随带隙坍缩,形成局部高温高压驱动冲击波传输等复杂流体动力学过程,诱导致密相变与拓扑缺陷,对激光元器件的灾难性损伤与疲劳效应有着本质影响。尽管目前已有多种力场可以准确描述非晶氧化硅结构,但传统计算氧化硅离子键贡献的长程库伦作用方法(Ewald求和)依赖于周期边界条件,仿真流体动力学过程所需的开放边界时计算量巨大。此外,传统计算氧化硅共价键贡献的Buckingham方法存在近程无物理意义的原子凝聚,高温高压所驱动的冲击负载下,硅氧原子存在较大的概率越过近程能垒形成上述原子凝聚现象。
为解决上述难题,研究人员采用MOF模型描述氧化硅共价键作用,在Buckingham方法的基础上引入Grimme修正,消除近程无物理意义的原子凝聚使用球状高斯电荷分布屏蔽离子电荷长程作用,避免了周期边界条件的要求,优化出一组可以准确描述非晶氧化硅结构拓扑序及冲击Hugoniostat状态方程的力场参数。以24000个原子所组成的非晶氧化硅结构为例,静态结构优化与冲击Hugoniostat状态方程的效率可以从5.2ns/day提升至33.5ns/day。周期边界条件的去除意味着该力场模型可以有效描述光学元件界面/表面/裂纹等自由面的激光损伤诱导流体动力学行为。鉴于流体动力学过程同高压相与拓扑缺陷之间的密切联系,这项工作对激光元器件的寿命与修复具有重要的科学意义。
相关研究得到了上海市科委科技创新行动、国家重点研发计划、上海市青年科技英才扬帆计划、中科院青促会、国家自然科学基金的支持。

图1 氧化硅相互作用势(实线为本文方法,虚线为传统方法)

图2 冲击压强对(a)压缩比(b)HEL以下的压缩比(c)配位数(d)环尺寸的影响
网站导航
|
晶体石英系列
|
实验设备系列
|
中国科学院上海光学精密机械研究所红外光学材料研究中心光电子材料仪器事业部
地址:上海嘉定区招贤路200号
电话:021-69522126
传真:021-69513319
友情提醒:
在您选购时,敬请向我方工作人员索取资质证书,确保真实可靠,谢谢!